產品目錄
蒸汽流量計
渦街流量計
孔板流量計
壓縮空氣流量計
氣體流量計
熱式氣體質量流量計
旋進旋渦流量計
金屬管浮子流量計
氣體羅茨流量計
電磁流量計
渦輪流量計
橢圓齒輪流量計
水流量計
液體流量計
超聲波流量計
磁翻板液位計
浮子液位計
浮球液位計
玻璃管液位計
雷達液位計
超聲波液位計
投入式液位計
壓力變送器
差壓變送器
液位變送器
溫度變送器
熱電偶
熱電阻
雙金屬溫度計
相關產品
聯系我們
聯系電話:13655235852
服務熱線:0517-86801009
公司傳真:0517-86801007
公司郵箱:1464856260@qq.com
公司地址:江蘇省金湖縣理士大道61號
在過熱和飽和蒸汽流量檢測中溫壓補償的方法
摘要:蒸汽流量檢測在工業生產過程中較為常見,隨著蒸汽流量檢測精度要求的提高溫度壓力補償尤為重要。通過分析渦街流量計用于蒸汽流量測量的原理提出渦街流量計在飽和蒸汽和過熱蒸汽流量檢測中的溫度和壓力補償的方法,為工程設計、實際應用提供參考。
1、引言
渦街流量計在蒸汽流量檢測領域的應用越來越廣泛;但是蒸汽流量計檢測值為蒸汽的體積流量。工業過程往往要求測量其質量流量,飽和蒸汽和過熱蒸汽在計算質量流量的過程中需要補償計算。本文分別對飽和蒸汽和過熱蒸汽的補償原理進行說明,并根據工程實際應用列舉出補償的方法。
2、飽和蒸汽和過熱蒸汽的區別
水在一定的壓力下加熱,水的溫度隨著不斷加熱而上升,當水溫升高到某一溫度時,水就開始沸騰,這時水的溫度稱為沸騰溫度。如繼續加熱,水溫保持不變,水即開始汽化,而逐步變為蒸汽。這時蒸汽的溫度也就等于飽和溫度。這種狀態的蒸汽就稱為飽和蒸汽。如果把飽和蒸汽繼續進行加熱,其溫度將繼續升高,并超過該壓力下的飽和溫度,這種超過飽和溫度的蒸汽就稱為過熱蒸汽。
水的沸騰溫度與其所受壓力有關,壓力愈大,則沸騰溫度也就越高;反之,壓力小,則沸騰溫度也低。所以對于飽和蒸汽而言,溫度與壓力存在一一對應關系。而過熱蒸汽的溫度與壓力是兩個獨立參數,之間不存在直接的關系。
3、渦街流量計用于蒸汽流量的測量
孔板流量計在蒸汽流量的檢測中應用由來已久,但是經過幾十年的實踐總結,孔板流量計存在多方面的缺陷,如孔板流量計安裝及日常拆洗維護的工作量較大;由于孔板流量計的壓損較大所以運營成本很高;此外孔板流量計還需配合差壓計或差壓變送器方可測量管道中各種流體的流量。綜合考慮以上因素,選擇渦街流量計作為蒸汽流量檢測儀表更為方便、經濟。
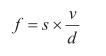
渦街流量計自上世紀70年代投放市場以來,深受廣大用戶歡迎。目前在各領域中得到廣泛應用。尤其是在對蒸汽流量檢測的應用上,蒸汽流量計正在逐漸取代孔板流量計成為蒸汽流量檢測的重要儀表。渦街流量計是根據卡曼渦街原理制成。流體中設置旋渦發生體(阻流體),從旋渦發生體兩側交替地產生有規則的旋渦,這種旋渦稱為卡曼渦街,如圖1所示。旋渦列在旋渦發生體下游非對稱地排列。設旋渦的發生頻率為f,被測介質流速為v,旋渦發生體迎面寬度為d,則有:

其中,s稱為斯特拉哈爾數,無量綱,由漩渦發生體的形狀決定,在一定的雷諾系數范圍內為常數。

通過檢測旋渦頻率即可計算出流體流速,從而計算出流體的體積流量。目前渦街流量計流量檢測的方法有電容檢測法、熱敏檢測法、超聲檢測法、電磁檢測法以及壓電檢測法等。蒸汽流量計用于流體流量檢測具有以下優點:
(1)量程比寬,不受流體溫度、壓力、成分、粘度及密度的影響;
(2)結構簡單,與孔板相比無需配合其它儀表;
(3)壓損小,約為孔板流量計的四分之一。
4、渦街流量計用于蒸汽流量測量系統
根據蒸汽流量計的測量原理可知,渦街流量計測量的是流體的體積流量。但是實際中往往要求測量蒸汽的質量流量。根據M=ρ×Q可由體積流量求出質量流量。
對于飽和蒸汽,其密度ρ只與壓力有關。對應公式為:
ρ=AP+B
其中:P為飽和蒸汽絕對壓力;單位MPa。對于過熱蒸汽,其密度和溫度、壓力均有關系。對應關系為:

其中:P為過熱蒸汽絕對壓力,單位MPa;T為過熱蒸汽溫度,單位℃。
因此在檢測飽和蒸汽的質量流量時要選擇壓力或是溫度進行補償;而測量過熱蒸汽質量流量時要同時選擇壓力和溫度進行補償。下面以過熱蒸汽質量流量檢測為例介紹溫度、壓力補償方法。
4.1智能積算儀補償方法
目前,過熱蒸汽質量流量的檢測可以使用智能積算儀。智能流量積算儀采用單片機技術,其補償演算功能可在預先編制好的軟件中完成,計算所需要的工況補償公式、表格數據都存放在積算儀的存儲器中,在測量氣體蒸汽流量時,可以通過壓力、溫度值的輸人信號進行蒸汽密度的自動補償。并且智能流量積算儀還可以實現壓力、溫度值異常時的自動補償。該功能可以在壓力變送器、溫度元件及變送器發生故障時,自動轉為壓力、溫度的設計值進行補償。此外,流量積算儀還具有就地顯示、報警以及RS-485通訊等多種功能。智能積算儀補償原理如圖2所示。采用智能積算儀的優點在于方便現場觀測蒸汽的流量、壓力、溫度參數。
對于過熱蒸氣,在低壓區(如小于1MPa)的壓縮系數都接近于l。在該區域內,只要溫度不是太低,即使不對壓縮系數進行修正,也不會引起明顯的誤差,完全可以滿足工程上的要求。但在高壓區,則必須考慮壓縮系數的影響,否則將會造成明顯的誤差。而采用智能積算儀補償的方法不具有對于其壓縮系數進行修正的功能,采用DCS模塊補償方法則可以克服以上缺點。
4.2 DCS模塊補償方法
DCS控制系統具有COMPENSATE和EXHSTEAM專用模塊,用于對過熱蒸汽進行溫度、壓力補償。
其中COMPENSATE模塊適用于溫度為260~800℃,壓力(絕壓)為0.5~32MPa的工況;而EXHSTEAM模塊適用于溫度為140~560℃,壓力(表壓)為98.6777~15898.6777kPa的工況。假設過熱蒸汽的設計壓力為4MPa(表壓),設計溫度為400℃;過熱蒸汽的實測壓力為PI-101:0~6MPa(表壓),實測溫度為TI-101:0~600℃,流量為FI-101,補償后的流量為FI_101,經EXHSTEAM過熱蒸汽特性計算得出設計密度為13.92817951832kg/m³,則DCS圖形化編程如圖3所示。

5、結論
渦街流量計在蒸汽測量系統中具有較好的應用前景,而渦街流量計的溫度壓力補償系統是提高飽和蒸汽和過熱蒸汽測量精度的重要手段,本文列舉的兩種補償方法在實際工程應用中具有指導意義。
相關資訊
- 蒸汽流量計與閥門的安裝距離
- 蒸汽流量計和調節閥的安裝順序
- 蒸汽流量計溫壓補償安裝規范
- 蒸汽流量計冷凝罐安裝規范
- 蒸汽流量計一體式和分體式的區別
- 蒸汽流量計的作用和用途
- 蒸汽流量計的內部結構圖
- 蒸汽流量計的優缺點
- 蒸汽流量計常見故障分析與處理
- 關于蒸汽孔板流量計測量原理及常見誤差分析
- 蒸汽孔板流量計安裝要求
- 蒸汽孔板流量計安裝圖
- 鍋爐蒸汽流量計怎么安裝
- 鍋爐蒸汽流量計如何選型
- 過熱蒸汽流量計的選型
- 溫壓補償蒸汽流量計選型
- 溫壓補償蒸汽流量計種類
- 如何選擇水蒸汽流量計
- 分體式蒸汽流量計管式安裝
- 高溫高壓蒸汽流量計安裝規范
- 一體式蒸汽流量計如何選型
- 工業蒸汽流量計安裝規范
- dn100蒸汽流量計流量范圍
- dn200蒸汽流量計安裝尺寸參數
- 插入式蒸汽流量計安裝要求
- 孔板蒸汽流量計的安裝要求
- 孔板蒸汽流量計選型注意事項
- 蒸汽流量計有什么種類
- 蒸汽流量計計量不準是什么原因
- 渦街蒸汽流量表內部結構

