產品目錄
蒸汽流量計
渦街流量計
孔板流量計
壓縮空氣流量計
氣體流量計
熱式氣體質量流量計
旋進旋渦流量計
金屬管浮子流量計
氣體羅茨流量計
電磁流量計
渦輪流量計
橢圓齒輪流量計
水流量計
液體流量計
超聲波流量計
磁翻板液位計
浮子液位計
浮球液位計
玻璃管液位計
雷達液位計
超聲波液位計
投入式液位計
壓力變送器
差壓變送器
液位變送器
溫度變送器
熱電偶
熱電阻
雙金屬溫度計
相關產品
聯系我們
聯系電話:13655235852
服務熱線:0517-86801009
公司傳真:0517-86801007
公司郵箱:1464856260@qq.com
公司地址:江蘇省金湖縣理士大道61號
影響渦街流量計測量因素
渦街流量計具有結構簡單、安裝方便、測量范圍大、壓力損失低、可測量多種流體等優點,但渦街流量計在應用中,以下因素都會增大渦街流量計的測量誤差。
(1)安裝直管段的影響
渦街流量計是一種速度式流量計,旋渦分離的穩定性會受流速的影響,故渦街流量計對直管段的要求是比較嚴格的。流量計前、后直管段一定要合乎要求,流量計前的直管段大于管道內徑 10 倍(10D),后直管段要大于管道內徑 5 倍(5D)。達不到上述要求將影響測量精度。
解決辦法:在安裝時就要注意直管段問題,避免在使用時才發現而被動。
(2)流體雷諾數 Re 的影響
在實際使用中流體雷諾數 Re>2×104 時,都可滿足渦街流量計的應用要求。但流速偏低或黏度較大的介質,會導致 Re 下降。但有時由于生產現場的流速發生變化使渦街流量計誤差增大而無法使用。
解決辦法:應盡量避免在雷諾數 Re<2×104 情況下使用。當雷諾數滿足不了要求時,只能采取縮小管徑來解決,在流量不變的條件下,管道如縮小為原來的 1/n,流速將提高 n 倍,而雷諾數 Re 也將增大為原來的 n 倍。所以要儀表正常運行,保證下限流速是關鍵。
(3)測量探頭的影響
① 當被測流體的溫度較高或較低時,探頭尺寸發生變化,會引起流體流通面積變化,而產生測量誤差。
解決辦法:采用膨脹計算公式來修正,即 Ft=1-α×105×(t-20)
式中 t 為被測流體的溫度;α為漩渦發生體材質的熱膨脹系數。
② 安裝開孔及探頭插入管道內,也會引起流場分布的變化。這也會引起測量誤差。
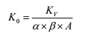
解決辦法:可通過修正儀表常數來減少誤差:

式中 K0 為儀表常數;KV 為儀表出廠標定常數;α為流場修正系數;β為阻塞修正系數;A 為管道內截面積。
(4)振動的影響
渦街流量計的安裝現場如果有設備或管道的振動,尤其是應力式渦街流量計對振動更敏感,振動會使儀表的測量值偏高,振動越強偏差越大。
解決辦法:選擇安裝地點盡量避開振動源,在有振動的現場安裝渦街流量計時,應在儀表前后加裝防振動支架。
相關資訊
- 渦街流量計如何正確安裝及安裝注意事項
- 渦街流量計在測量蒸汽方面的應用和難點分析
- 渦街流量計測量蒸汽流量不準確的因素分析
- 渦街流量計在蒸汽計量的問題及提高計量準確性的對策
- 渦街流量計測量原理
- 渦街流量計選型
- 渦街流量計安裝規范
- 渦街流量計接線圖說明
- 渦街流量計訂貨須知及選型樣譜
- 渦街流量計小流量切除的作用
- 渦街流量計在小流量時無信號
- 渦街流量計和質量流量計的區別
- 渦街流量計無流量有輸出的故障分析
- 渦街流量計沒有輸出原因
- 渦街流量計連接方式有哪些
- 渦街流量計夾持式和法蘭式的區別
- 渦街流量計工況和標況的區別與換算
- 渦街流量計和v錐流量計比較
- 渦街流量計的適用場合
- 渦街流量計安裝插入深度
- 渦街流量計帶溫壓補償的作用
- 渦街流量計脈沖頻率不穩定
- 渦街流量計測量不穩定是什么原因
- 渦街流量計小信號切除方法
- 渦街流量計4-20ma校準
- 渦街流量計4-20ma接線圖
- 渦街流量計精度不準解決方法
- 渦街流量計測量蒸汽不準的原因分析與解決辦法
- 渦街流量計對介質流速要求
- 渦街流量計測量介質溫度范圍

