產品目錄
蒸汽流量計
渦街流量計
孔板流量計
壓縮空氣流量計
氣體流量計
熱式氣體質量流量計
旋進旋渦流量計
金屬管浮子流量計
氣體羅茨流量計
電磁流量計
渦輪流量計
橢圓齒輪流量計
水流量計
液體流量計
超聲波流量計
磁翻板液位計
浮子液位計
浮球液位計
玻璃管液位計
雷達液位計
超聲波液位計
投入式液位計
壓力變送器
差壓變送器
液位變送器
溫度變送器
熱電偶
熱電阻
雙金屬溫度計
相關產品
聯系我們
聯系電話:13655235852
服務熱線:0517-86801009
公司傳真:0517-86801007
公司郵箱:1464856260@qq.com
公司地址:江蘇省金湖縣理士大道61號
關于部件現場檢定來提高蒸汽流量計的準確性
摘要:蒸汽流量計是由多個計量器具組成的測量系統,由于在實際工況使用過程中不便于拆卸,而許多蒸汽流量計是用于貿易結算,要求進行強制檢定。如何提高現場檢測技術變得尤為重要。在現場需要對有些部件進行定性判斷,對有些部件進行現場檢定。以此來提高蒸汽流量計的準確性。
蒸汽作為重要的二次能源廣泛應用于工業生產當中。蒸汽的計量是蒸汽使用過程中重要的一環,蒸汽流量計的準確性關系到供、用雙方的經濟利益。蒸汽流量計又是由多個計量器具組成的一個計量系統。而蒸汽流量計大都安裝在高溫、高壓的蒸汽管道上,不方便拆卸,如何提高蒸汽流量計現場檢測技術就變得非常重要。
目前常見的用于計量蒸汽的流量計一般有兩種:渦街流量計和差壓式流量計。渦街流量計主要由渦街流量傳感器、流量積算儀、壓力變送器、溫度鉑熱電阻組成。差壓式流量計主要由標準孔板、差壓變送器、流量積算儀、壓力變送器、溫度鉑熱電阻等組成。
渦街流量計由于其結構簡單、牢固、安裝維護方便。目前在市場上的應用越來越廣泛。渦街流量計安裝示意圖如圖1:

渦街流量傳感器的檢定遵照JJG1029-1007《渦街流量計》**檢定規程。在實驗室內采用臨界流文丘利噴嘴法氣體流量標準裝置進行檢定。渦街流量計是體積流量計,即流體雷諾數在一定范圍內,其輸出只與體積流量成正比。在現場檢測環境下,由于渦街流量傳感器安裝在蒸汽管道上,無法拆卸送至實驗室進行檢定。現場一般采用示波器接收處在工作狀態下的渦街流量傳感器輸出的方波脈沖信號。通過對波形的分析,對渦街流量傳感器的工作狀態進行定性判斷。
壓力變送器一般安裝在緩沖管上,通過關閉緩沖管上的針型閥,拆卸下壓力變送器,將壓力變送器帶至滿足檢定規程要求的環境內用壓力變送器檢定裝置進行檢定。整個檢定過程遵照JJG882-2004《壓力變送器》**檢定規程。差壓變送器現場檢測參考壓力變送器現場檢測方法。
流量積算儀現場檢定遵照JJG1003-2005《流量積算儀》**檢定規程。檢測通道示意圖如圖2。

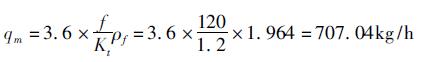
頻率輸出渦街流量計測量質量流量的表達式:

式中:qm---質量流量,kg/h;
f---渦街流量計輸出頻率,P/s;
Kt---工作狀態下流量系數,P/L;
ρf---流體密度,kg/m³。
渦街傳感器為口徑DN80儀表系數為1.2P/L,壓力變送器的量程為(0~1.6)MPa,溫度鉑熱電阻為pt100,對積算儀進行檢測。

通過公式(1)可以得到瞬時質量流量:

隨著計算機技術的發展,微處理器的應用。現在智能化的積算儀將蒸汽密度表裝入其內存中,在CPU的控制下,模仿人工查表的方法,采用計算機查表與線性內插結合技術,蒸汽密度的取得能得到與人工查表相同的精確度。
有些研究結果表明,臨界飽和狀態蒸汽減壓后會發生相變,即從飽和狀態變為過熱狀態,這時,將其仍作為飽和蒸汽取得ρf,必將引入較大誤差,如果出現這種情況,應進行溫度壓力補償。過熱蒸汽的密度隨蒸汽溫度、壓力變化的關系是三維空間中的一個曲面,有兩個自變量。所以溫度測量的準確性,直接關系到渦街流量計整體測量的準確性。在使用現場的具體做法如下:將PT100從套管中抽出,帶至實驗室進行檢定。再將一只檢定合格的PT100插入套管中,確保蒸汽流量計正常工作。溫度鉑熱電阻的檢定,遵照JJG229-98《工業鉑、銅熱電阻檢定規程》。
由多個計量器具組成的系統,對蒸汽進行計量。各計量器具的準確性對蒸汽的計量都存在影響,對蒸汽進行貿易結算,這些影響蒸汽計量的計量器具都應進行強制檢定。在蒸汽流量計使用現場,影響流量計準確計量的因素比較多,我們還要同時關注流量計的選型、安裝、使用環境等。確保蒸汽流量計的準確計量。
相關資訊
- 蒸汽流量計與閥門的安裝距離
- 蒸汽流量計和調節閥的安裝順序
- 蒸汽流量計溫壓補償安裝規范
- 蒸汽流量計冷凝罐安裝規范
- 蒸汽流量計一體式和分體式的區別
- 蒸汽流量計的作用和用途
- 蒸汽流量計的內部結構圖
- 蒸汽流量計的優缺點
- 蒸汽流量計常見故障分析與處理
- 關于蒸汽孔板流量計測量原理及常見誤差分析
- 蒸汽孔板流量計安裝要求
- 蒸汽孔板流量計安裝圖
- 鍋爐蒸汽流量計怎么安裝
- 鍋爐蒸汽流量計如何選型
- 過熱蒸汽流量計的選型
- 溫壓補償蒸汽流量計選型
- 溫壓補償蒸汽流量計種類
- 如何選擇水蒸汽流量計
- 分體式蒸汽流量計管式安裝
- 高溫高壓蒸汽流量計安裝規范
- 一體式蒸汽流量計如何選型
- 工業蒸汽流量計安裝規范
- dn100蒸汽流量計流量范圍
- dn200蒸汽流量計安裝尺寸參數
- 插入式蒸汽流量計安裝要求
- 孔板蒸汽流量計的安裝要求
- 孔板蒸汽流量計選型注意事項
- 蒸汽流量計有什么種類
- 蒸汽流量計計量不準是什么原因
- 渦街蒸汽流量表內部結構

