溫度壓力補償渦街流量計在測量蒸汽流量的應用
摘要:本文從渦街流量計溫度壓力補償的原理入手,深入分析了溫度壓力補償渦街流量計在測量蒸汽流量時需要注意的相關事項,以期通過該種方式提升我國蒸汽流量測量的準確定,發揮溫度壓力補償在測量蒸汽流量時的作用。
我國蒸汽輸出是由**電力部門統一分配的。因此,在各個分用戶使用的過程中需要對其蒸汽的使用流量進行測量,從而完成蒸汽流量的整體統計和收費。因此,蒸汽流量測量的準確性關系到輸出者與使用者雙方的利益。針對當前我國蒸汽流量測量中的溫度壓力補償計算法進行深入分析,能夠為蒸汽流量測量實際工程應用提供參考價值。
1、溫度壓力補償原理
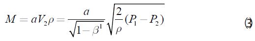
溫度壓力補償渦街流量計在蒸汽流量測量裝置中主要是通過節流裝置、差壓變送器、溫壓補償裝置等組成的,其具有記錄、鏈接、調節的作用。根據標準節流件的技術要求和實驗數據要求,在其蒸汽測量的過程中還需要具備壓力溫度傳感器,從而實現對蒸汽流量測量的溫壓補償。管道內液體流動的過程中具有動能和靜能,因此在一定條件下兩種能量會實現能量形式的相互轉換,而在此過程中能量的總和是不變的。根據質量守恒、能量守恒等原理確定能量轉換關系的公式為:

根據流體連續性方程判定為:

由于管道內部流動液體為不可壓縮液體,因此其p1=p2=p,根據流體定義確定質量流量與差壓的關系是為:

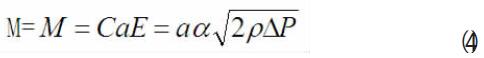
進一步根據流量與差壓間的理論公式,按照理想流體在節流中產生的壓力損失為零,引入流出修正系數為C,則=CE,則得出不可壓縮液體質量流量與差壓的關系是為:

考慮可壓縮液體在節流件中流動實踐較短,與外界無熱交換,引入流體膨脹校正系數ε,確定可壓縮液體質量流量與差壓的關系是為:

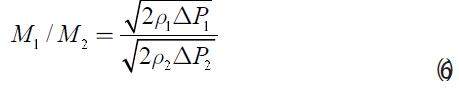
溫度補償原理中如果節流裝置的相對性能較好,節流件自身的參數對內部液體介質的流量無影響,其不同介質在不同工作情況下的流量關系則為:

根據P1=p2=p和公式(1)能夠進一步對公式(6)進行轉換,*終得到:

根設計工程情況介質質量流量M1與實際工程情況介質質量流量M2壓力補償修正管理與工作過程中的溫度壓力相關。因此,在測量蒸汽流量時利用溫度壓力補償能夠準確的確定蒸汽流量,實現蒸汽流量的測量。
2、溫度壓力補償渦街流量計在測量蒸汽流量時的應用
溫度壓力補償在實際測量蒸汽流量的過程中根據蒸汽流量溫壓補償計算模塊有專業的工程技術人員實現對相關數據的設置、回路的鏈接,詳見圖1。
根據圖1中能夠看出在實際工程現場應用溫度壓力補償計算的過程中根據管道內介質的流量(FT)、壓力(PT)、溫度(TE)的各項測量信號進行計算,并且根據模塊內設計壓力與設計溫度進行對比計算,*終輸出補償后的介質流量。溫度壓力補償渦街流量計在測量蒸汽流量時的應用過程中能夠在電腦屏幕上直接的顯示管道內部介質的瞬時流量,其精確度和準確性相對較高。因此,被廣泛應用于蒸汽測量中。
3、溫度壓力補償渦街流量計在測量蒸汽流量時的注意事項
3.1避免補償后再次出現誤差。
溫度壓力補償渦街流量計在測量蒸汽流量中的應用本身就是為了減少測量誤差,如果在應用過后再次產生測量誤差則完全沒有應用價值。因此,在使用溫度壓力補償渦街流量計測量蒸汽流量時必須避免補償后在其出現誤差的現場發展。大氣壓力是引起補償后再次出現誤差的主要因素之一。飽和蒸汽的絕對壓力參數值會將蒸汽表的壓力增加。因此,在實際工程測量的過程中需要根據當地的大氣壓力代替0.1MPa的標準大氣壓力,尤其是高海拔地區實際大氣壓力與標準大氣壓力相差較大地區。此外,管道內部液柱靜壓力也是致使補償后再次出現誤差的因素之一。由于壓力變送器取壓口語變送器自身的液體高度在實際測量中不可能保持絕對相同。因此會造成對變送器輸出壓力的影響,從而產生附加誤差。因此在實際工程蒸汽流量測量時需要注意的該影響因素,必要時采用零點遷移的方式消除再次誤差的影響。
3.2保障溫差補償的應用條件。
溫差補償在蒸汽流量測量中的應用需要具備必要條件才能夠實現誤差的補償作用。因此,在實際工程測量使用過程中需要保障溫差補償的應用條件。*先,需要保障蒸汽的溫度和壓力波動范圍小,這樣才能夠降低工程參數與設計參數偏離較大的發生率,降低對實際測量的影響。其次,在測量過程中發現工程參數與設計參數存在的差異性較大需要立刻對其進行調整,這樣才能滿足溫差補償的應用條件。因為,一定實際工程參數中的溫度和壓力與設計參數不同,計算中的流量系數a、孔徑d,膨脹系數ε等俊輝產生變化,造成測量精度下降,無法發揮溫差補償在蒸汽流量測量中的實際作用。此時需要重新對工程中的液體質量流量與差壓關系表達式進行計算。
3.3合理選擇溫差補償應用。
根據實際工程應用分析溫差補償并不適用與飽和蒸汽流量測量的補償。飽和蒸汽的實際壓力與溫度之間的關系為單值函數關系,從本質上蒸汽密度在該狀態下與標準密度相同,導致溫度不差和壓力補償的測量效果相同。此外,在一定條件下利用壓力補償計算飽和蒸汽流量的精確度甚至高于使用溫差補償測量。以壓力值為0.7MPa時為例,測量溫度誤差為-1℃,蒸汽流量計算誤差為-1.14%;測量壓力誤差為-2MPa,蒸汽流量計算誤差為±0.13%。后者的測量精確度明顯高于前者。因此,在實際工程中對飽和蒸汽流量測量的過程中需要合理的選擇溫差補償應用。
總結:溫度壓力補償渦街流量計在測量蒸汽流量時的需要明確的注意測量的蒸汽壓力和溫度,將其與設計相比較,在差異*小的情況下實現溫度壓力補償的應用。此外,保障溫差補償的應用條件,對飽和蒸汽流量測量時選擇合理的方式均至關重要。

